仪表放大器可以调理传感器生成的电信号,从而实现这些信号的数字化、存储或将其用于控制信号一般较小,因此,放大器可能需要配置为高增益。另外,信号可能会叠加大共模电压,也可能叠加较大直流失调电压。精密仪表放大器可以提供高增益,选择性地放大两个输入电压之间的差异,同时抑制两个输入中共有的信号。
惠斯登电桥是这种情况的经典例子,但像生物传感器一类的原电池具有类似的特性。电桥输出信号为差分信号,因此,仪表放大器是高精度测量的首选。理想情况下,无负载电桥输出为零,但仅当所有四个电阻均完全相同时,这种情况方为真。假如有一个以分立式电阻构建的电桥,如图1所示。最差情况差分失调VOS为:

其中,VEX为电桥激励电压,TOL为电阻容差(单位为百分比)。

图1:惠斯登电桥失调
例如,在各元件的容差均为0.1%且激励电压为5V时,差分失调可以高达±5mV。如果需要400的增益来实现所需电桥灵敏度,则放大器输出端的失调变成±2V。假设放大器由同一电源驱动,并且其输出可以轨到轨摆动,则仅电桥失调就可能消耗掉80%以上的输出摆幅。在行业要求电源电压越来越小的趋势下,这个问题只会变得更加糟糕。
传统的三运放仪表放大器架构(如图2所示)有一个差分增益级,其后为一个减法器,用于移除共模电压。增益施加于第一级,因此,失调放大的倍数与目标信号相同。因此,将其移除的唯一方法是在参考(REF)端施加反电压。这种方法的主要不足在于,如果放大器的第一级已经饱和,则调节REF上的电压并不能更正失调。克服这点不足的几种方法包括:
●根据具体情况,以外部电阻对电桥分流,但对于自动化生产来说,这是不现实的,而且在出厂后是无法调整的
●减少第一级增益,通过微调REF上的电压来移除失调,并再添一个放大器电路以实现所需增益
●减少第一级增益,以高分辨率ADC完成数字化输出,并在软件中移除失调
后两种选项还需要考虑最差情况下与原始失调值的偏差,从而进一步减少第一级的最大增益。这些解决方案并不理想,因为它们需要额外的电源、电路板空间或成本,来达到高CMRR和低噪声的目标。另外,交流耦合并不是测量直流或超慢移动信号的一种选择。

图1:惠斯登电桥失调
间接电流反馈(ICF)仪表放大器(如AD8237和AD8420可在放大之前移除失调。图3显示ICF拓扑结构原理图。

图3:间接电流反馈仪表放大器拓扑结构
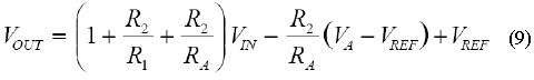
该仪表放大器的传递函数在形式上与经典三运放拓扑结构的传递函数相同,其计算公式为

由于输入之间的电压等于反馈(FB)与参考(REF)端子之间的电压时,放大器的反馈要求可得到满足,因此,我们可将该公式重写为

这意味着,引入一个等于反馈和参考端子之间失调的电压,即使在存在大输入失调的情况下,也可将输出调整为零伏特。如图4所示,该调整可以通过以下方法实现:从一个简单的电压源(如低成本DAC)或者来自嵌入式微控制器的滤波PWM信号,通过电阻RA将一个小电流注入反馈节点。

图4:带失调移除功能的高增益电桥电路
设计步骤
等式(3),R1与R2之比将增益设为:

设计师必须确定电阻值。较大电阻值可降低功耗和输出负载;较小值可限制FB输入偏置电流和输入阻抗误差。如果R1和R2的并联组合大于约30kΩ,则电阻开始引起噪声。表1显示了一些建议值。

表1:各种增益的推荐电阻(1%电阻)
为了简化RA值的查找过程,假设采用双电源运行模式,有一个接地REF端子和一个已知的双极性调整电压VA。这种情况下的输出电压可通过以下公式计算:

注意,从VA至输出的增益为反相。VA的增加会使输出电压降低,比值为R2和RA之比。此比值下,可以针对给定的输入失调,使调整范围达到最大。由于调整范围指向增益之前的放大器输入,因此,即使在低分辨率源的情况下,也可实施微调。由于RA一般都比R1大得多,因此,我们可以得到等式(5)的近似值:

为了找到一个RA值以允许最大失调调整范围VIN(MAX),在给定调整电压范围VA(MAX)的情况下,使VOUT=0,求RA,结果得到

其中,VIN(MAX)为传感器预期的最大失调。等式(5)同时显示,调整电路的插入会修改从输入到输出的增益。即使如此,其影响一般也很小,增益可以重新计算为:

一般地,对于单电源电桥调理应用,参考端的电压应大于信号地。如果电桥输出可以在正负间摆动,情况尤其如此。如果基准电压源由一个低阻抗源(如分阻器和缓冲器)驱动至电压VREF,如图5所示,则等式(5)变为:

如果相对于原始等式中的VREF取VOUT和VA,则可得到相同的结果。VA(MAX)~VREF也应替换等式(7)中的VA(MAX)。
设计示例
假设有一个单电源电桥放大器,如图4所示,其中,用3.3V电压来激励电桥并驱动放大器。满量程电桥输出为±15mV,失调可能处于±25-mV的范围。为了取得所需灵敏度,放大器增益需为100,ADC的输入范围为0V至3.3V。由于电桥的输出可以为正,也可以为负,因此,其输出指向中间电源或1.65V。只需通过施加100的增益,失调本身即会强制使放大器输出处于-0.85V至+4.15V的范围内,这超过了电源轨。
这个问题可通过图5所示的电路来解决。电桥放大器A1是一个像AD8237一样的ICF仪表放大器。放大器A2,带R4和R5,将A1的零电平输出设为中间电源。AD56018位DAC对输出进行调整,通过RA使电桥失调为0。然后,放大器的输出由AD7091微功耗12位ADC数字化。

图5:针对单电源工作模式而修改的失调移除电路
从表1可以发现,增益为101时,R1和R2需为1kΩ和100kΩ。电路包括一个可以在0V至3.3V范围内摆动,或者在1.65V基准电压左右摆动±1.65V。为了计算RA的值,我们使用等式(6)。其中,VA(MAX)=1.65V且VIN(MAX)=0.025V,RA=65.347kΩ。当电阻容差为1%时,最接近的值为64.9kΩ。然而,这没有为源精度和温度变化导致的误差留下任何裕量,因此,我们选择一个常见的49.9-kΩ低成本电阻。这样做的代价是调整分辨率降低了,结果导致略大的调整后失调。
从等式(7),我们可以算出额定增益值为103。如果设计师希望得到接近目标值100的增益值,最简单的办法是使R2的值降低3%左右,至97.6kΩ,结果对RA的值的影响非常小。在新的条件下,额定增益为100.6。
由于DAC可以摆动±1.65V,因此,总失调调整范围可通过由RA以及R1和R2的并联组合形成的分压器给定,其计算方法如下:

在±25-mV最大电桥失调范围内,±32.1-mV的调整范围可提供28%的额外调整裕量。对于8位DAC,调整步长为

对于250-μV调整分辨率,输出端的最大残余失调为12.5mV。
R3和C1的值可以通过ADC数据手册中的建议值或参考文献2来确定。对于采样率为1MSPS的AD7091,这些值为51Ω和4.7nF。在以较低速率采样时,可以使用较大的电阻或电容组合,以进一步减少噪声和混叠效应。
该电路的另一个优势在于,可以在生产或安装时完成电桥失调调整。如果环境条件、传感器迟滞或长期漂移对失调值有影响,则可重新调整电路。
受其真轨到轨输入影响,AD8237最适合采用超低电源电压的电桥应用。对于要求较高电源电压的传统工业应用,AD8420不失为一款良好的替代器件。该ICF仪表放大器采用2.7V至36V电源供电,功耗低60%。
表2是对两款仪表放大器进行了比较。都使用了最小和最大规格。

表2:AD8237和AD8420比较