单片机-FTU制作五
时间:06-23 09:38 阅读:1147次
*温馨提示:点击图片可以放大观看高清大图
简介:视在功率S在电力书上已经明确给出。即视在功率等于电压有效值乘以电流有效值。在前面我们已经知道了怎样获得电压有效值和电流的有效值。也就是电源输出功率。
视在功率S在电力书上已经明确给出
。即视在功率等于电压有效值乘以电流有效值。在前面我们已经知道了怎样获得电压有效值和电流的有效值。也就是电源输出功率。
如果线路负载是纯电阻负载那么视在功率S与有功功率P是完全相等的。因为电流以电压之间夹角为0。但是如果电路回路中电容或者电感,也就是说有容性负载或者感性负载,那么视在功率S与有功功率P不一定相等。这是因为电流会超前或者滞后与电压。如果大家有兴趣可以查看《电路分析》等课程、或者电力相关课程。总之在电路稳定的状态向
是一个固定的值,即功率因数PF。
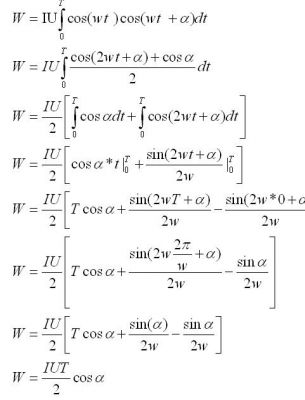
现在我们推到一下电流和电压的夹角与功率因数PF之间的关系。
假设

我们可以得出


上一节我们已经得出:

所以

所以我们推导出了视在功率与有功功率的关系,即
。
是电流与电压夹角。
PF功率因数就是
。
无功功率的Q根据定义我们可以直接根据公式得出。如果大家感兴趣请查阅电力输送方面的资料。
到这里我们基本对一些理论概念做了基本介绍。下一节我们介绍cs5464的驱动。