芯片介绍
SE9018是一款恒流/恒压模式的锂离子电池线性充电芯片,采用内部PMOSFET架构,并集成有防倒充电路,不需要外部隔离二极管。
芯片预设充饱电压为4.2V,精度为±1.5%,充电电流可通过外部电阻进行设置,最大持续充电电流可达1A.当芯片由于工作功率大、环境温度高或PCB散热性能差等原因导致结温高于140℃时,内部热反馈电路会自动减小充电电流,将芯片温度控制在安全范围之内。为使芯片能够维持高效工作状态,应采取措施尽量降低芯片工作功率和芯片温度,例如输入端串联小电阻(降低输入电压)、增大PCB散热铜箔面积、使芯片散热片与PCB铜箔充分接触等。

图1 SE9018脚位图

图2 SE9018原理图
SE9018内部集成电池温度监测电路,当电池温度超出正常范围(过高或过低)时,芯片自动停止充电过程,防止电池因为温度过高或过低而损伤。
电池温度监测是通过判断TEMP端电压(VTEMP)实现的,VTEMP由一个包括电池内部NTC热敏电阻在内的电阻分压网络提供。
当VTEMP处于45%×VCC与80%×VCC之间时,芯片判断电池温度处于正常范围内;当VTEMP 《 45%×VCC或VTEMP 》 80%×VCC时,芯片判断电池温度过高或过低;当TEMP端接地时,电池温度监测功能被禁用。
SE9018包含两个漏极开路的状态指示输出端CHRG和STDBY,当电路处于充电状态时,CHRG端置低电平,STDBY端为高阻态;当电池充饱时,CHRG端变为高阻态,STDBY端置低电平。当电池温度监测功能正常使用时,如果芯片未连接电池或电池温度超出正常范围,CHRG端和STDBY端均为高阻态;当电池温度监测功能被禁用时,如果芯片未连接电池,STDBY端为低电平,CHRG端输出脉冲信号。
SE9018的其他功能包括手动停机、欠压闭锁、自动再充电等。
典型的基于SE9018的锂离子电池充电电路如图3所示。CE端为高电平时,SE9018正常工作。

图3 SE9018典型应用电路
1.充电电流的设置
恒流充电过程中的充电电流Ibat由PORG端与GND端之间的电阻Rprog设定,Ibat与Rprog阻值的关系为:

公式1
例如,如果想得到1A的恒定充电电流,根据公式1可得Rprog=1200Ω。
2.电池温度监测电路设置
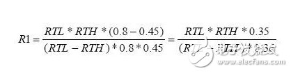
电池温度监测电路的设置主要是对R1和R2进行设置,假设NTC热敏电阻在最低工作温度时的电阻为RTL,在最高工作温度时的电阻为RTH(RTL与RTH的数据可查相关电池手册或通过实验得到),则R1,R2的阻值分别为:

公式2

公式3
在实际应用中,如果只需要高温保护,不需要低温保护,可以将R2去掉。此时,R1的阻值为:

公式4
3.手动停机设置
在充电过程中,可随时通过置CE端为低电平或去掉Rprog(PROG端浮置)将SE9018置于停机状态,此时电池漏电流降至2uA以下,输入电流降至70uA以下。
4.欠压闭锁状态
若输入电压VCC低于欠压锁定阈值或VCC与电池电压Vbat之差小于120mV,SE9018处于欠压闭锁状态。
当芯片处于停机状态或欠压闭锁状态时,CHRG端与STDBY端均为高阻态。
5.正常充电工作周期
当SE9018的各输入端与电池均处于正常状态时,充电电路进入正常充电周期,此周期包括四种基本工作模式:涓流充电、恒流充电、恒压充电、充电结束与再充电。
若电池电压Vbat低于2.9V,充电电路进入涓流充电模式,此时充电电流为恒流充电电流的十分之一(如果恒流充电电流被设置为1A,则涓流充电电流为100mA),涓流充电状态会一直保持到电池电压Vbat达到2.9V.涓流充电模式主要是为了避免电池电压太低时大电流冲击给电池内部结构带来的损害。
电池电压高于2.9V但小于预设充饱电压4.2V时,充电电路处于恒流充电模式,如上所述,充电电流由Rprog确定。
电池电压达到4.2V时,充电电路进入恒压充电模式,此时BAT端电压维持在4.2V,充电电流逐渐减小。此过程的主要作用是减小电池内阻对于充饱电压的影响,使电池充电更加充分。
当充电电流减小至恒流充电电流的1/10时,充电电路停止向电池充电并进入低功耗的待机状态。在待机状态时,SE9018会持续监测电池电压,如果电池电压降至4.05V以下,充电电路会再次对电池进行充电。
6. 指示灯状态
表1

7.兼容USB电源与适配器电源的电路
同时,使用SE9018芯片可以实现适用于USB电源和适配器电源的充电电路,电路图如图4所示。

图4 USB与适配器方案
使用USB电源供电时,PMOS与NMOS栅极被下拉至低电位,PMOS导通, USB电源对SE9018进行供电,SCHOTTKY二极管防止USB端向适配器端漏电。NMOS截止,Rp1被断开,Rprog = 2.4kΩ,恒流充电电流为500mA.
使用5V适配器进行供电时,PMOS与NMOS栅极为高电位,PMOS截止,防止适配器端向USB 端漏电,适配器5V电压通过SCHOTTKY二极管对SE9018进行供电。NMOS导通,Rp1被接入电路中,此时Rprog为Rp1与2.4kΩ电阻并联,通过设置Rp1,可以实现大于500mA的恒流充电电流。
结论
本文讨论了智能大电流锂离子电池线性充电解决方案,使用的SE9018芯片具有充电速度快、对电池保护功能强、外围元器件数目较少等特点,而且该芯片还适合USB电源和适配器电源工作,是较为实用的智能大电流锂离子电池充电芯片。