引 言
起重机在工作过程中,由于小车运行的加速或减速,经常会导致吊重的摇摆,这不仅增加吊重卸料难度,而且给起重机的作业带来了不安全因素。因此,在起重机作业时,吊重的摆幅必须控制在一定范围内,到达目的地时吊重应立即停摆。为此,人们已经提出了多种防摇措施:如采用交叉钢丝绳减摇装置、分离小车减摇装置、翘板梁式减摇装置等机械防摇系统。由于机械式防摇其本质都是通过机械手段来消耗摆动能量以达到最终消除摆动的目的,没有将减摇与小车运行控制结合起来考虑,减摇效果在很大程度上取决于操作人员的熟练程度,而且在起重机满载和空载两种情况下的减摇效果差别很大,难以满足用户要求。后来出现了带视觉传感器电子防摇技术,通过各种传感器和检测元件将检测到的信息传送到控制系统中的微机,经微机内部控制软件处理后将最佳的控制参数(如PID控制参数)提供给小车调速系统,通过调节小车的速度和方向,控制小车的运行,来减少吊具及负载的摆动幅度。但由于目前所采用的是通过在小车架上安装一个发射装置(激光发射器、摄像头等)和一个接收装置,在吊具上架安装一个反射器,吊具前后摆动时,检测吊具前后摆动的角度。由于需要附加安装价格昂贵的视觉传感器检测和接收系统,所需付出的代价是很大的;在天气恶劣的情况下(如遇浓雾、暴雨、直射阳光等) ,视觉传感器的使用也常常受到某些限制,难以获得最佳控制效果。
本文通过建立起重机载荷摆动的数学模型,明确吊重摆幅与小车运行加减速之间的关系,并将基于微机电系统(MEMS)加工技术制作的微加速度计应用到起重机的防摇控制系统中,即时检测小车运行加速度并估计得到吊重偏摆角度。通过建立闭环控制系统,适时根据吊重摆幅大小修正小车速度指令,实现防摇控制。这种方法克服了传统的机械式防摇技术及带视觉传感器电子防摇技术中的不足与缺陷,达到理想的控制效果。
起重机吊重摆动的数学模型
小车-吊重摆动系统简化力学模型分析如图1(a)所示。M和m分别为小车和吊重的质量,l为缆绳的长度,x表示小车在水平方向上的位移,θ表示吊重的摆角,F为小车运行牵引力,f为小车运行静阻力,g为重力加速度。
为了便于分析,根据起重机工作的基本情况,这里作一些简化处理:
(1)假定小车在行走的过程中,缆绳的质量相对于吊重及小车的质量可忽略不计;
(2)吊重及吊架看作整体视为质量块m加以分析;
(3)吊重与缆绳在运行过程中所受的风力和空气阻尼以及系统的弹性变形均不计。

(a)小车-吊重摆动系统 (b)吊重受力平衡
图1小车-吊重系统力学模型
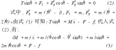
如图1(b)所示,设缆绳的张力为T,取x、θ为广义坐标,对小车建立运动微分方程:

根据达朗伯原理,对吊重进行受力分析,它受重力mg,缆绳张力T,法向惯性力Fng ,切向惯性力Fτg ,水平惯性力F1作用。如图1( b)所示。在水平方向上建立平衡方程,有

在垂直于缆绳方向上建立平衡方程,有:

整理可得:

则吊具摆动的线性化模型为:

如果只考虑在操作点θ0附近只有很小的θ变化,并假定在整个过程中缆绳的长度l始终保持恒定不变,可作如下简化:

由此方程组(6)转化为:


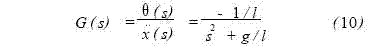
对方程式(8)进行Laplace变换,有:

对象的传递函数为:

根据式(8)得到:

式(11)、(12)是初始条件为t = 0,θ= 0,θ=0的解,可以发现吊具的摆动是随时间作周期性变化,其摆幅、摆速与小车运行加速度成正比。因此,只要确定了小车运行加速度的大小与方向,吊重的摆幅、摆速也就相应得到确定。
微机电系统(MEMS)及微加速度计
微机电系统(MEMS)
从20世纪60年代起,微电子技术和微加工技术(包括硅体微加工、硅表面微加工、LIGA和晶片键合等技术)的结合,制造出各种性能优异、价格低廉、微型化的传感器、执行器、驱动器和微系统。微机电系统(MEMS)是集微机构、微传感器、微执行器、信号处理、控制电路、通信接日及电源于一体的微型电子机械系统。这种微机电系统不仅能够采集、处理与发送信息或指令,还能够按照所获取的信息自主地或根据外部的指令采取行动。目前研究最成功、应用最广泛的微机电器件是微传感器,而微加速度计作为微传感器的杰出代表已经广泛应用于汽车智能化控制系统中,如安全气囊系统检测和监控前面后面的碰撞等等。
微加速度计的结构模型
图2为电容式微加速度计的结构模型。

图2微加速度计的结构示意图
图中的质量块是微加速度计的执行器,与质量块相连的是可动臂;与可动臂相对的是固定臂。可动臂和固定臂形成了电容结构,作为微加速度计的感应器。其中的弹簧并非真正的弹簧,而是由硅材料经过立体加工形成的一种力学结构,它在加速度计中的作用相当于弹簧。
MEMS微加速度计的工作原理
加速度计的工作原理可概述如下:当加速度计连同外界物体(该物体的加速度就是待测的加速度)一起加速运动时,质量块就受到惯性力的作用向相反的方向运动。质量块发生的位移受到弹簧和阻尼器的限制。显然该位移与外界加速度具有一一对应的关系:外界加速度固定时,质量块具有确定的位移;外界加速度变化时(只要变化不是很快),质量块的位移也发生相应的变化。另一方面,当质量块的发生位移时,可动臂和固定臂(即感应器)之间的电容就会发生相应的变化;如果测得感应器输出电压的变化,就等同于测得了执行器(质量块)的位移。既然执行器的位移与待测加速度具有确定的一一对应关系,那么输出电压与外界加速度也就有了确定的关系,即通过输出电压就能测得外界加速度。
执行器的力学结构示意图,如图3所示,感应器的电学原理图,如图4所示。以Vm 表示输入电压信号,Vs表示输出电压,Cs1与Cs2分别表示固定臂与可动臂之间的两个电容,则输入信号和输出信号之间的关系可表示为:

图3执行器力学结构示意图

图4感应器电学原理图

电容与位移之间的关系为:

式中,x为可动臂(执行器)的位移;d为没有加速度时固定臂与悬臂之间的距离。由式(13)和式(14)可得:

根据力学原理,在稳定情况下,质量块的力学方程为:

式中,k为弹簧的劲度系数;m为质量块的质量。因此,外界加速度与输出电压的关系为:

可见,在加速度计的结构和输入电压确定的情况下,输出电压与加速度呈正比关系。
无视觉传感器防摇控制系统的设计
为达到较好的防摇控制效果,采用闭环控制系统,将检测到的信息传送到控制系统中的微机,由微机内部控制软件处理后将最佳的控制参数(如PID控制参数)提供给小车调速系统,通过调节小车的速度和方向,控制小车的运行,来减少吊具及负载的摆动幅度。
图5为闭环控制系统框图。图中,n为PLC(可编程序控制器)输出电机转速值,v(t)为小车实际运行线速度,vd(t)为小车理想运行线速度,Kw为反馈系数。

图5闭环控制系统框图
从小车-吊重系统的控制来看,有两种控制方式:一种是力控制方式,通过控制系统数学模型中小车牵引电机和吊重提升电机的输出力矩来抑制吊重摆动,关系较为明确,控制系统的输入变量为电机力矩,输出变量是小车速度与吊重摆角,但要对此求解,并得出给定摆角时的电机力矩就非常困难,而且要控制电机力矩的输出也非常困难;另一种是速度控制方式,以电机转速或小车速度解为输入变量,以吊重摆角等作为输出变量,求解方便,而且控制电机的转速比控制电机的输出力矩要方便得多。由于PLC的输出不能直接去控制电机的转速,因此需在PLC和牵引电机之间增加一个控制设备。
对于三相异步电机,其转速公式为:

式中,n为电机每分钟转速;p为磁极对数;f为电源频率;s为转差率。
由转速公式可以看出电机的调速方式有3种:变极调速(改变p) ,变频调速(改变f )和改变转差率s调速。其中变频调速能够实现异步电机连续平滑的无级调速。小车- 吊重电子防摇控制系统中,小车的速度变化应是一条以时间为变量的连续光滑曲线,故采用变频调速系统(变频器)通过改变输出频率来控制小车牵引电机的转速。

图6为小车-吊重防摇控制系统框图。
采用德国西门子公司的SIMATIC S7-300系列PLC。该系列提供了多种性能递增的CPU和丰富的且带有许多方便功能的I/O扩展模块,模块的种类和数量可根据用户的需要任意选用。根据系统要求,图中选用的分别是电源模块PS307/10、中央处理模块CPU315、数字量输入模块(DI)SM321、数字量输出模块(DO)SM322、模拟量输入模块(AI)SM331、模拟量输出模块(AO)SM332、接口模块IM360/IM361、通信模块CP340-RS232。变频器选用安川VS616G5系列。该变频器具有全程磁通矢量控制,在全速范围内具有恒转矩特性,无速度反馈时,速比为100∶1,控制精度为±0.2%;有速度反馈时,速比达1000∶1,控制精度为±0.02%。完全满足要求。图中所示的变频器另外配置了PG-B2速度反馈卡以构成反馈电路,电机的实际转速就能反馈回变频器,对控制系统的传输误差进行修正。微加速度计选用ANALOG DEVICES公司生产的ADXL105,测量范围为-5~+5g;可以分辨出低于0.002g的加速度;与其它加速度计相比,ADXL105可以在很大程度上提高工作带宽,并大幅度降低噪声影响,0g偏差和温度漂移也相对较低。
实验结果
图7为吊重摆动曲线的理论计算与实验结果的比较,选用的参数同图。图中的虚线表示理论计算结果,实线表示实验所得到的摆动曲线。从吊重摆动曲线图上,可以清晰的看到吊重摆动幅度逐渐减小直至为零的整个过程。

图7吊重摆动曲线