0 引言
常规的测试仪器仪表和控制装置被更先进的智能仪器所取代,使得传统的电子测量仪器在远离、功能、精度及自动化水平定方面发生了巨大变化,并相应的出现了各种各样的智能仪器控制系统,使得科学实验和应用工程的自动化程度得以显着提高。
本文设计的电子秤以单片机为主要部件,用汇编语言进行软件设计,硬件则以差动变压器式(LVDT)位移传感器为主,测量0~10mm.传感器输出的电量是模拟量,数值比较小达不到A/D转换接收的电压范围。所以送A/D转换之前要对其进行前端放大、整形滤波等处理。然后,A/D转换的结果才能送单片机进行数据处理并显示。
1 设计目的
差动变压器式(LVDT)位移传感器广泛应用于工业现场和测试领域,如过程检测和自动控制、形变测量等,适用于油污、光照等恶劣环境。这种传感器可靠而耐用,但选用它监控机械位移量,还需设计与传感器配套的测量装置 研制开发的位移测量装置适用于工业现场和多种测试领域。按照使用的要求,系统可实现:有效量程10mm,精度0.0lmm; LED同时显示1-4路测量值;零点值重置等功能。 通过本文夫人设计,达到以下三点:
(1)通过本次课程设计加深对差动变压器电感传感器在工程实践中的应用的了解;
(2)掌握用这种传感器组成位移测量系统的原理和方法;
(3)进一步掌握这种传感器的性能特点和工程应用。
2 系统设计原理
本系统采用内含4KB程序存储器的8位单片微型计算机89C51,其内部4KB程 序存贮器可以满足本系统的需求,同时可以较大限度地减少外围器件;按照有效量程和精度,本系统选用国内厂家的配套产品 AC-LVDT传感器;使用四组(每组5个)LED七段数码管同时显示四路测量值;用于过程控制的信号采样应较快,应采用较高速的A/D转换器。主程序流程图、系统原理图分别如图1、图2所示。

图1主程序流程图

图2系统原理图
3 硬件电路设计
3.1传感器的工作原理
差动变压器由一只初级线圈和二只次线圈及一个铁芯组成,根据内外层排列不同,有二段式和三段式,本实验采用三段式结构。当差动变压器随着被测体移动时差动变压器的铁芯也随着轴向位移,从而使初级线圈和次级线圈之间的互感发生变化促使次级线圈感应电势产生变化,一只次级感应电势增加,另一只感应电势则减少,将两只 次级反向串接(同名端连接),就引出差动电势输出。利用两个线圈之间互感的变化引起感应电势的变化,来获得与被测量成一定函数关系的输出电压,实现非电量的测量。应用最多的是螺线管式差动变压器,它可以测量1~100(mm)范围内的机械位移、150HZ
以下的低频振动、加速度、应变、比重、张力、厚度、称重等一、切能引起机械位移变 化的非电物理量。

图3测量原理框图
本次差动变压器的原理是建立在CSY2000型传感器实训台的基础上的。差动变压器电感传感器具有结构简单、性能优越、测量精度高、灵敏度高和价格合理等优点。
3.2差动变压器传感器安装
(1)将差动变压器和测微头(参照附:测微头使用)安装在实验模板的支架座上,如下图4所示。

图4差动变压器传感器安装示意图
(2)差动变压器的原理图已印刷在实验模板上,L1为初级线圈;L2、L3为次级线圈;*号为同名端。按图2-3接线,差动变压器的原边L1的激励电压必须从主机箱中音频振荡器的Lv端子引入,检查接线无误后合上总电源开关,调节音频振荡器的频率为4-5KHz(可用主机箱的频率表输入Fin来监测);调节输出幅度峰峰值为Vp-p=2V(可用示波器监测:X轴为0.2ms/div)。

图5差动变压器性能实验安装、接线图
3.3放大电路的设计
传感器输出电压为0~50mV,而A/D转换器所能处理的电压是0~5V,所以必须在A/D转换器前加入一个前置差动放大电路以实现电压的放大,放大倍数为100倍,使输出电压为0~5V. 由于单运放在应用中要求外围电路匹配精度高、增益调整不便、差动输入阻抗低,故采用三运放结构。
三运放结构具有差动输入阻抗高、共膜抑制比高、偏置电流低等优点,且有良好的温度稳定性,低噪单端输出和和增益调整方便,适于在传感器电路中应用。 如图6所示,图中 RG为增益调节电阻,整个芯片仅R5为外接电阻,而运放A1 为增益为100的差动输入放大器。
电压的放大倍数:可由公式 得出
得出 倍数。因此我们可以改变R2和 R1的比值来改变放大倍数。
倍数。因此我们可以改变R2和 R1的比值来改变放大倍数。
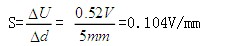
量程的确定:转动20圈 进给10mm 电压变化 0.52V
灵敏度:
根据电压得量程是 +1.7V ~-1.7V 可以由上面公式得出距离d得量程是 +16.35mm~-16.35mm.

图6放大电路硬件原理图
3.4采集电路的设计
(1)数据采集系统的组成
数据采集系统的核心是计算机,他对整个系统进行控制和数据处理,他由采样/保 持器,放大器,A/D转换器,计算机组成。

图7数据采样系统框图
(2)数据采样保持器
进行模数变换时,从启动变换到变换结束的数字量输出,需要一定的时间,即A/D转换的孔径时间。当输入信号频率较高,由于孔径时间的存在,会造成较大的转换误差;为了防止误差需在中间加一个功能器件采样/保持器,进行有效、正确的数据采集。 采样/保持器通常由保持电容器、模拟开关和运算放大器组成。采样保持器的原理:如图8,当开关闭合时,V1通过限电流电阻向电容C充电,在电容值合理的情况下,V0随Vi的变化而变化;当K断开时,由于电容C有一定的容量,此时输出V0保持输入信号再开断开瞬间的电平值。

图8采样保持原理图
(3)AD0809的工作原理与连接
AD转换器与8031单片机相连接,将IN0的输入模拟信号转换成数字信号。从而可以输入8031进行下一步处理。采用逐位逼近式的AD转换器。其原理如下图:

图9AD0809的原理图
当启动信号作用后,时钟信号在控制逻辑作用下。首先是寄存器的最高位D3=1 ,其余为0,此数字量1000经D/A转换器换成模拟量8,送到比较器输入端与被转换地模拟量进行比较控制逻辑根据比较器输出进行判断,当Vin³Vo,则保留D3=1,再对下一位D2进行比较,同样先使D2=1,与D3一起即1100进入D/A转换器,进行比较,以此进行比较,到最后一位D0.
4 软件的设计
4.1数据处理子程序的设计
数据处理子程序是整个程序的核心。主要用来调整输入值系数,使输出满足量程要求。另外完成A/D的采样结果从十六进制数向十进制数形式转化。
4.1.1系数调整
 在IN0输入的数最大为10mm,要求的位移10mm对应的是5.0V,为十六进制向十进制转换方便,将系数放大100倍。并用小数点位置的变化体现这一过程。
数制转换:数制之间的转换:在二进制数制中,每向左移 一位表示数乘二倍。以每四位作为一组对数分组,当第四位向第五位进位时,数由8变到16,若按十进制数制规则读数,则丢失6,所以应进行加六调整。DA指令可完成这一调整。可见数制之间的转换可以通过移位的方法实现。其中,移出数据的保存可以通过自乘再加进的方法实现,因为乘二表示左移一位,左移后,低位进一,则需加一。否则,加零。而通过移位已将要移入的尾数保存在了进位位中,所以能实现。

图10数据处理原理框图
4.2数据采集子程序的设计
数据采集用A/D0809芯片来完成,主要分为启动、读取数据、延时等待转换结束、读出转换结果、存入指定内存单元、继续转换(退出)几个步骤。ADC0809初始化后,就具有了将某一通道输入的0~5模拟信号转换成对应的数字量00H-FFH,然后再存入8031内部RAM的指定单元中。在控制方面有所区别。可以采用程序查询方式,延时等待方式和中断方式。

图11 数据采样原理框图
5 总结
随着集成电路和计算机技术的迅速发展,使电子仪器的整体水平发生巨大变化,传统的仪器逐步的被智能仪器所取代。智能仪器的核心部件是单片机,因其极高的性价比得到广泛的应用与发展,从而加快了智能仪器的发展。而传感器作为测控系统中对象信息的入口,越来越受到人们的关注。本文所设计的位移测量仪就是在以上仪器的基础上设计而成的,适用于工业现场和多种测试领域。