对于LED照明的恒流应用,如果对隔离没有要求,并且输出电流不大的话,那么Buck型结构应该是性价比最好的选择。首先,同等的功率级别以及输入输出规格下,Buck型电路中开关管的电压应力是最小的,实际承受的最大电压即输入直流母线电压,因此500V耐压的开关管即可满足通用输入范围的要求。其次,Buck型电路的磁性器件也是结构最为简单的,通常情况下只要一个绕组。当然还有很多其他的优点,希望大家能够帮忙补充。
Buck型电路用于LED驱动我接触最早的应该是HV9910,这是一个简单的峰值电流模式PWM控制器,论坛曾有很多前辈讨论它的是非。个人认为,这个IC算是过时了,为了保证较好的电流精度,对输入输出的变化范围以及电感量的精度都有严格的要求。这次的帖子我打算以我接触过的两个用的比较多的 IC来讨论Buck型LED驱动电路,它们是晶丰明源的BP2822以及占空比的DU8623。首先有必要声明,这里仅作为技术交流,不涉及广告成分。

上图我简单画了下几种常见的Buck型结构。第一种是高边驱动NMOS的方式。这种Buck型电路是在低压DCDC中见得最多的。他的优点是输入输出是共地的,并且公共端是系统电位最低点。在高压Buck中,我们很少见到这种方式,原因在于高边NMOS需要自举升压浮动驱动,高压的驱动电路太占芯片的面积了。所以可以想象,为什么一片高低边驱动器价格动辄好几块钱。
第二种是高边驱动PMOS,这种结构的优点和第一种相同,也不需要自举升压驱动,但却是比较少见,原因在于PMOS的多子为空穴,迁移率低,造成PMOS的性能较差,另外,这种驱动要以输入为参考,同样会比较复杂。
第三种是高压Buck型LED驱动器中最为多见的,今天要说的两个IC都是这种结构。它的优点很明显:控制电路不需要承受高压就能很好地完成对功率管的驱动,因此IC的成本可以做到很低。而在LED以外的应用中,我们几乎不会这样用,原因很简单,这种结构的公共端是电源输入正端,不符合我们的习惯。
说完上面这些,我们就来看看这些电路是如何来恒流的。首先,我们要搞清楚恒流的概念,恒的是负载的平均电流,对于Buck拓扑,也就是电感的平均电流。对于任何一种拓扑,一个开关周期内电感的电流都是先升到峰值,再降到谷值的,这个谷值可能大于0(连续模式),也可能等于0(断续模式或者临界模式)或者小于0(这种情况只会在同步整流的结构中出现)。如果是连续模式或者临界模式,那么电感的平均电流就等于峰值电流加上谷值电流除以2,即:
Io_avg=IL_avg=(IL_peak+IL_valley)/2
如果要恒流,只要将电感的峰值电流和谷值电流定死就行。如下图,对于低边Buck型结构,开关管开启时,电流按照蓝线方向流动,电感电流逐渐上升,如果检测Rcs上的电压达到一定值(即电感电流达到一定值)时开关管关断,那么峰值电流就定下来了。假设这个阈值为Vthh,那么峰值电流大小为:
IL_peak=Vthh/Rcs

接下来的开关周期内,电感通过二极管D续流,如下图所示。这就出现了一个问题,此时的电流不再流经开关管,控制电路无法知道电流下降到何种程度了。

怎么办?先看一下下面这个图。用过临界模式PWM控制IC的应该很快能够看出来,这种结构可以实现在电感电流下降到0附近时重新打开开关管,也就是说,可以强迫电路工作在临界工作模式。使用一个辅助绕组,开关管关断期间,电感电流下降,辅助绕组感应产生一个正电压,当电感电流下降为零时,感应电压消失,触发开关管重新开启。D1这个二极管是用来阻断开关管开启时辅助绕组上的反压的,实际上我们可能看不到这个二极管,因为可以在IC内部A2的反相输入端反向并接一个二极管到地,效果一样的。


这个电路使得电感电流波形非常接近上图的临界模式,也就实现了输出的恒流:
Io_avg=IL_avg=(IL_peak+IL_valley)/2=IL_peak/2
这就是BP2822的工作模式。大家会问,为什么BP2822的应用中没有这个辅助绕组?确实没有,这个绕组肯定让电感的加工变得复杂,成本会略微上升。那么它是如何检测电感电流下降到零的呢。大家可以先想一下反激工作在断续模式下,开关管漏极电压在开启前上一个周期内的波形是什么样的。没错,会出现振荡。那Buck型的会不会也有这样现象呢?会。
大家看下图。假设电流在t时刻过零,则t-时刻有:
Vds=Vcoss=Vin
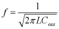
在t+时,电感电流为零,C远大于Coss,C视为短路,则Coss与L构成串联谐振回路,谐振频率为

初始振荡幅度为Vin。用saber仿一下,确实如此。

有这个振荡,那就好办了,只要检测这个振荡一开始,我们就把开关管重新开启,那么久非常接近临界工作模式了。甚至,我们可以检测到这种振荡到达谷值时将开关管开启,那么就是我们所说的准谐振(QR)了。但是仍然有问题。不涉及到IC的可能不知道,国内绝大多数集成功率管的IC都是将控制部分的裸片和一个外置的功率管裸片封装到一起的,也就是单片封装,而不是单片集成。那么,功率管漏端和控制IC基本都是没有连接关系的,那又如何取得这个振荡信号呢?
这一点,还和驱动结构相关。为了减小IC功耗,BP2822这类IC都是采用源极驱动的方式。也就是说,芯片实际驱动的是一个低压的功率管,另外一个高压功率管用来承受耐压,下图可以说明这一结构。使用一个二极管和电容,就可以得到这个振荡信号。但是,这个二极管和电容是需要承受高压的,放在IC内部是不现实的,放在芯片外部,无疑增加了外围的复杂度。

究竟是如何检测的呢?再看下图就知道了。下管的源漏寄生电容导致下管的漏端(即高压管的源端)对地也会产生同样波形的振荡,这个振荡是低压的,检测起来就方便了。


最后我们看一下这个系统该如何实现。下图是我想出来的一种最简单的方式,当然BP2822的内部不一定是这么做的,但是估计也差不到哪里去。两个比较器,为了简单起见,我接到了同一个参考电压源上,一个用来检测到峰值后触发开关管关断,一个用来检测到振荡后触发开关管开启。最后电感被迫工作在近似临界模式下。所以输出电流的近似计算就成了:
Io=Vref/2Rcs
对于BP2822,Vref=0.4V。最后的图给出了相关的波形,大家可以自己对照。

