TPS61040/41是一款高频低功耗升压转换器,专门用于中小型LCD偏压和白光LED背光照明。使用时可由两节镍氢/镍镉电池或单节锂离子电池产生高达28V的输出电压。TPS61040/41的开关频率高达1MHz,功耗低(静态电流典型值28μA)。
封装及引脚功能
TPS61040/41采用SOT-23-5或SON-6封装如图1所示,其引脚功能如表1所示。

图1 TPS61040/41采用SOT-23-5或SON-6封装
表1 引脚功能表

典型应用电路
由图2可知,TPS61040/41输入电压范围为1.8~6V,输出电压可达28V.当输入端加入输入电压VIN时,TPS61040/41内部MOSFET开关Q1导通,并逐步增加了从VIN通过L1、Q1和内部电流检测电阻RSENSE的电流量。TPS61040/41的FB(反馈)脚检测输出电压,只要反馈电压低于参考电压(典型值1.233V),则内部Q1导通,电流增大;当电感L1电流达到内部设置峰值电流ILM(TPS61040为400mA或TPS61041为250mA)时Q1截止,另外为应付极端条件以限制最大导通时间,在最大导通时间超过6μs(典型值)时Q1也会截止。TPS61040/41外接元件决定了Q1的关断时间。为了维持运行以及设定Q1的关断时间,TPS61040/41内部控制器必须用Q1和RSENSE监测通过L1的电流。当关断Q1时,流过L1的电流中断会升高电感上的电压,使外部的肖特基二极管D1正偏并导通,D1作续流二极管保证电流输出,为输出电容器C1充电至一个较高电压,这个电压高于单独的输入电压VIN。

图2 应用电路
开关管关断至少要保持400ns(典型值),或者反馈电压又低于参考电压时才导通。输入电压、L1以及通过RSENSE的预设峰值电流都会影响Q1的导通时间。
具体电路设计
本文给出了TPS61040的两种具体电路。图3为用TPS61040作为升压转换器来驱动并联LED;图4为用TPS61040作为升压转换器来驱动串联LED.图3中通过在FB引脚和GND之间连接一个15Ω的外部电阻R1,根据反馈电压(VFB=1.233V),TPS61040可为LED提供80mA的恒定电流。该设计允许在输出上使用物理尺寸较小的外部器件(使用陶瓷电容代替钽电容),这是由于TPS61040提供的开关频率高达1MHz.PWM控制管脚用来控制LED灯的亮度。该电路可以获得85%的电源转换效率。在图4中通过改变R1和D3的值,升压拓扑可以驱动串联的LED.通过在FB引脚连接一个47Ω的接地电阻,并根据反馈电压(VFB=1.233V),TPS61040可为LED提供26mA的恒定电流。

图3 TPS61040驱动并接的白光LED电路

图4 TPS61040驱动串接的白光LED电路
1.电感、最大负载电流的选择
因为TPS61040/41工作在持续峰值电流控制的PFM模式,此方式具有内在稳定性,电感值不影响调节器稳定性。电感选择与额定负载电流,输入和输出电压一起决定转换器开关频率。根据不同的应用, 电感值的选择可介于2.2μH和47μH之间(图3、图4中选择10μF)。最大的电感值是由开关管的最大导通时间确定,一般为6μs.电感值决定了转换器的最大开关频率。因此,选择电感值时,应确保在转换器工作在最大负载电流时开关频率不超过最大值。最大开关频率计算公式如下:

式中,IP为峰值电流;L为所选电感的电感量;V IN(min)为最高开关频率时的最小输入电压。
如果选定的电感值没有使转换器超过最大开关频率,下一步就需要计算在额定负载电流时的开关频率,可由下面公式得到

式中,Iload为额定负载电流;Vdd为整流二极管正向电压(典型值0.3V)。
较小的电感值能使转换器获得较高的开关频率,但却降低了效率。电感值对最大有效负载电流影响不大,在一定的工作条件下,计算最大有效负载电流最好方法是估计转换器的最大负载电流效率。最大负荷电流就可以估计如下:

式中,fSmax为预估计的最大开关频率;η为期望的转换器效率,典型值为70%-85%.
转换器的最大负荷电流是该转换器开始进入连续传导模式的工作点电流。该转换器应该通常一直工作在电流断续模式。
2.输出电压的设置。
输出电压可由下式计算:

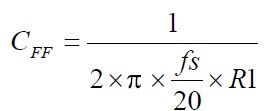
对于电池供电的应用而言(见图2),应使用高阻抗电压分配器,并且R2典型值小于200kΩ,R1最大值为2.2MΩ。低阻抗可降低反馈引脚噪声敏感性。电阻R1并联的前馈电容CFF是很重要的,它为误差比较器提供足够的过载。没有前馈电容或其值过小,在TPS61040/41的SW引脚处会有双脉冲或突发脉冲,导致更高的输出电压波纹。转换器的开关频率越低,则要求前馈电容值越大。但前馈电容越大则电源线性调整率越差,因此选择的前馈电容器也不能太大。前馈电容值可使用下列公式计算:

式中,R1电压分配器中的上拉电阻;fS额定负载电流时的转换器开关频率。
3.电源线性调整率和负载调整率
线性调整率取决于反馈引脚的纹波电压。通常即使在反馈引脚FB上有峰峰值为50mV的纹波电压,TPS61040/41也可获得一个良好的输出。不过一些应用可能需要更精密的线性调整率。
由前面介绍可知,若没有前馈电容,则TPS61040/41的SW引脚处会有双脉冲或突发脉冲,导致更高的输出电压波纹,所以没有前馈电容就没有良好的线性调节器。但增加前馈电容值虽然降低输出电压波纹,但却增加反馈引脚FB的电压纹波,反馈引脚的电压波动越大(≥50mV), 线性调整率就越差。一般采用两种方法来进一步提高线性调整率:
1)把L1电感值减小,从而提高开关频率,降低输出电压纹波,同时也减小了反馈引脚的电压波动。
2)反馈引脚(FB)和地之间增加一个小电容使反馈引脚的纹波电压减少到50mV以下。
4.输入、输出电容的选择
为更好实现输入、输出电压的滤波,应采用低ESR(等效串联电阻)电容。陶瓷电容具有低ESR值,但也可以使用钽电容。
一般可采用4.7μF陶瓷电容。
5.二极管选择
一般采用肖特基二极管以实现高效率。二极管的额定电流值应满足转换器的峰值电流额定值。
6.布局考虑
对所有的典型开关电源,布局设计是一个重要环节,特别是在高峰值电流和高开关频率时。如果布局不合理,转换器可能会有噪声问题和周期性的抖动。设计时,输入电容应该尽可能放在靠近输入引脚的地方,以利于输入电压的滤波。电感和二极管应该放在尽可能靠近开关引脚附近,以减轻噪声耦合到其它电路。因为反馈引脚和电源网络是一个高阻抗电路,在布线时要远离电感。反馈引脚和反馈网络要用大面积的地进行屏蔽以减小噪声耦合。