引言
风力发电系统中变流器作为电机连接电网的核心装置获得广泛应用。由于风力发电用并网变流器功率容量较大, 直流母线两端的电压较高,为降低功率器件应力PWM信号开关频率受到限制,频率范围通常在1~3k(Hz)之间,开关频率的降低导致变流器网侧输出电流中的谐波分量增加。采用常规的LC滤波需要较大的电感量,电感量的增加提高了成本,增加了装置的体积,不利于变流器控制。[1-3]在变流器设计中引入LCL型滤波器。采用变流器电流间接控制结合电网电压前馈补偿的控制策略,可以使系统具有较好的稳定性和动态性能。
1 风力发电变流器的数学模型
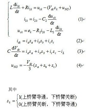
基于LCL滤波器的风力发电用变流器结构如图1所示。其中 为三相电网电动势,[7]假定电网电动势为三相平稳的纯正弦波,不考虑并网变流器直流母线两端电压波动,滤波电感是线性的,且不考虑饱和,主电路开关元器件为理想开关元件,根据基尔霍夫电压电流定律和并网变流器工作原理,可得到并网变流器数学模型为:

Fig.1 System structure of direct drives for wind turbine

(k = a,b,c), -直流侧电压; 、 -网侧电感、寄生电阻, 、 -桥臂侧电感、寄生电阻, -滤波器电容; 、 、 -网侧电流、电容器电流、桥臂侧电流; -直流侧电流,ek-电网电动势,R-开关管等效电阻,uNO-直流侧负母线对交流中性点电压,iL-负载电流。由变流器的数学模型可知,同典型L型并网变流器相比采用LCL滤波的并网变流器,数学模型中变量数目较多,增加了系统的复杂性。
三相坐标系下的数学模型具有物理意义清晰,直观等特点,但是在该数学模型中,三相交流侧电压回路方程均以时变信号出现,不利于控制系统设计。为此,可将三相静止坐标系下的正弦量通过坐标变换变换成dq坐标系下的直流量,从而简化了控制系统设计。并网变流器在dq坐标系下的数学模型为:

其中
ucq-q轴电容电压,ucq-d轴电容电压,
iq-q轴桥臂电流,id-d轴桥臂电流,i2q-q轴网侧电流,i2d-d轴网侧电流,ed-d轴电网电动势,eq-q轴电网电动势,
2 基于LCL的变流器控制策略
2.1基于dq坐标系的变流器解耦控制
由于电能的双向传输,当PWM变流器从电网吸收电能时其运行于整流工作状态;当PWM变流器向电网回馈电能时其运行于逆变工作状态,因此PWM变流器实现了绿色电能变换。网侧电流与电网电压同相,变流器网侧呈正电阻特性,实现单位功率因数运行,负载从电网吸收有功功率,变流器运行在逆变状态,网侧电流与电网电压反相,变流器网侧呈负电阻特性,实现单位功率因数逆变控制,负载向电网发送有功功率。
根据并网变流器数学模型可知,与独立逆变控制输出电压不同,并网变流器控制电网的电流i2k(k=a,b,c),而i2k由加在输出滤波器两端的电压uk和usk决定,考虑到uk是不可控量,输出电流i2k由变流器桥臂的输出电压决定,因此并网变流器的控制策略就是选择合适的变量控制桥臂输出电压,在保证系统稳定运行的同时,控制输出电流i2k满足系统要求。本文采用变流器直接输出电流i1k间接控制并网输出电流i2k与电网电压前馈相结合的控制策略,为提高控制精度和动态响应速度在电流环中引入电网电压前馈,其目的是克服电网扰动对LCL滤波器的影响,很大程度上减少系统对调节器增益的依赖,加快系统的响应。有利于电流内环调节器的设计,即使采用简单的比例调节也可以获得较好的电流跟踪特性和鲁棒性,扩大了调节器参数的选择范围。
PWM变流器电网电压定向矢量控制将(d,q)同步旋转坐标系的q轴按电网电压矢量E定向。此时,电网电压的d轴分量为零Ed=0,PWM变流器交流侧电流矢量的q轴分量iq为有功电流,d轴分量id为无功电流。电网电压定向矢量控制可以方便地实现网侧有功功率和无功功率的解耦控制。为了实现PWM变流器单位功率因数运行,通常无功电流分量id的给定值设为零。
由式(5)可以看出d、q轴电流不独立,存在交叉耦合关系,变流器电路虽是静止电路,但变换至旋转坐标系中,经电感作用会使d、q轴之间产生耦合,控制系统只有通过解耦才能单独控制id、iq,式中d-q轴电流除受控制量VdcSq、VdcSd的影响外,还受到交叉耦合电压 、 扰动和电网电压的扰动。因此单纯的d、q轴电流负反馈不能实现解耦。引入电流状态反馈解耦以及电网电压作为前馈补偿,即可实现由ud、uq分别独立控制。应用传统的PI控制器,控制效果不好,为此采用前馈解耦控制策略,三相同步旋转坐标系下电流控制时的电压指令为:

图2为变流器控制原理图,给定指令电压udc*与实际直流侧电压udc比较后经PI调节器得到电流有功分量指令iq,id、iq 与交流侧实际电流比较后经PI环得到指令电压Ud、Uq,经过电网电压、电感电压交叉分量的前馈补偿后, 将所得电压指令送入PWM合成器, 作为控制PWM开关的指令电压。为了提高变流器的动态性能,采用了直流电压外环和电流内环的双闭环控制方式,内环为电流环,外环为电压环。电压环的主要作用是控制直流母线电压,电流环根据电压环给出的电流指令对交流侧输入电流进行控制,控制算法考虑了d、q轴之间电流解耦;为了提高系统对负载扰动和电网电压波动的抗干扰能力,减少由此产生的波动,引入了电网电压的前馈控制。实现了网侧并网变流器的有功、无功的解耦控制。

2.2 滤波器设计
由于控制系统与T型滤波器本身的参数有关,因此在进行变流器控制系统设计前必须先确定滤波器的参数。对于典型并网逆变器,在不考虑电网谐波影响条件下,必须通过滤波电感衰减其输出电流中的开关频率谐波分量,其中开关频率的谐波电流计算式为:

式中fs为PWM信号的开关频率,fout为输出电流基波频率取50hz,L为滤波电感。同样在设计T型滤波器时首先参照典型并网逆变器电感设计方法,根据方程(12)和期望谐波电流幅值来确定T型滤波器中所需总电感量上限值,然后选取合适的电感量就可以获得对称的L1与L2参数。设计电容c2时要考虑所选择的电容参数既要对开关频率谐波电流有很好的分流作用,又要确保系统具有一定工作频带。电容c2的参数选择依据为:

其中p为谐波电流相对于额定输出电流的衰减系数,方程(7)(8)给出了针对开关频率谐波电流设计T型滤波器参数的基本原则。T型滤波器具有自身的谐振效应,为避免谐振的影响,该谐振频率应该限制在10倍的工作频率与1/2的开关频率之间,以免由于谐振问题在输出电流中产生较大的谐波,污染电能质量。
3 实验结果分析
为验证上述控制策略的实用性,在实验室构建了15KW的变速恒频风力发电的模拟平台,网侧变流器的额定功率为15KW,直流母线电压400V,直流侧平波电容6600uf,额定电流35A,L1=0.5mH,R1=R2=0.001Ω,L2=0.5mH, C2=100uF,开关频率设为2kHz.图3为采用LCL型滤波器的并网变流器输出的电压电流波形。并网变流器采用LCL型滤波器,可以有效衰减输出电流中的谐波分量,满足系统设计要求的同时降低滤波器电感取值,且不影响系统以负单位功率因数稳定运行。图4与图5分别为进行正负阶跃扰动实验时的电流响应波形,曲线i1为采用电感滤波的变流器电流波形,曲线i2为采用LCL型滤波器的变流器电流波形,从中可以看出与典型并网变流器相比,采用LCL型滤波器的并网变流器动态响应很快,100A-20A和20A-100A阶跃响应只需一个正弦波周期就可以进入稳态。

4 结束语
详细分析了采用LCL型滤波器的风力发电变流器在dq坐标系下的数学模型,针对采用LCL型滤波器对并网变流器系统带来的不稳定性,采用并网变流器电流。