单片机-FTU制作四
时间:05-24 10:20 阅读:1130次
*温馨提示:点击图片可以放大观看高清大图
简介: 无功功率、有功功率、视在功率的概念,在我参加FTU的项目中除了有位三峡大学一位实习的研究生同事和一位姓李的同事比较明白以外,整个项目的其他人在项目组其他人的在项目结束也未必明白了计算的的方法。
无功功率、有功功率、视在功率的概念,在我参加FTU的项目中除了有位三峡大学一位实习的研究生同事和一位姓李的同事比较明白以外,整个项目的其他人在项目组其他人的在项目结束也未必明白了计算的的方法。
首先我们回顾上一节的电流的有效值计算方法:

这个公式可以计算任意周期信号的电流的有效值,包括方波、三角波、锯齿波、正弦波。我们需要测量的信号是正弦波,所以我们只讨论正弦波的有效值的计算方法。
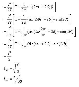
假设电流信号为:



以上过程我们通过一般的电流有效值公式:
推到出正弦信号的有效值公式
。
其实我们可以通过程序来验证对于正弦信号
与
完全等价。
假设
。
根据
可任意得出
。
我们通过程序计算,编写以下代码:

以上代码输出结果:

我们在这一节讨论了正弦有效信号计算和公式的推到。电压的有效值与电流推到过程完全一样。大家可以自己查找资料。或者自己推到一下。下一节我们讨论一下视在功率、有功功率、无功功率。